

gaoshengkeji@163.com

1.試驗目的
針對改裝后的車架總成,測試后橫梁在設計最大負荷作用下的應力分布及最大應力值,并與有限元計算結果比較,驗證其強度是否達到設計值。
2.引用標準
GBT 6792-2009 客車骨架應力和形變測量方法
GB T 12534-90汽車道路試驗方法通則
3.試驗條件及試驗車輛的準備
3.1試驗場地與環境
a. 試驗用車架總成按設計圖紙按1:1比例制造;
b. 試驗場地為室內,常溫。
3.2 試驗儀表、器具
a. 電阻應變儀,測量范圍0~30000me,分辨率1me;
b. 數據采集器,A/D 轉換率200kHz;A/D分辨率16位;
c. 電阻應變花,阻值120ù;屏蔽電纜
d. 鋼尺,卡尺,秒表。
3.3 其他車輛試驗條件的準備應符合GB/T 12534 的有關規定。
4.應力測量方法
4.1 確定測點布置方案
選擇車架后橫梁總成車鉤孔位置附近、后橫梁總成的內、外沿平整處。按結構受力情況,根據有限元分析結果,確定最大應變出現的區域,各測點均采用電阻應變花。
4.2 確定應變片柵長與種類
根據應力分布梯度,選擇合適的應變片柵長與種類。
4.3 應變片粘貼與引線焊接
對測量區域進行清洗后,用手砂輪或砂紙打磨表面,去掉鐵銹、油漆和污垢,達到

左右,按布置方案用記號筆畫出標記線,用四位惠斯頓電橋測量各應變片的電阻值,要求其偏差在±0.5歐姆以內,然后用膠水進行粘貼。
粘貼完畢后,焊接應變片引線。焊接之前應在靠近應變片位置處粘貼接線端子,焊接引線時要注意與基體的絕緣,引出電纜要注意屏蔽。焊接完成后要對應變片、接線端子一起采用密封膠做防潮和絕緣處理。


4.4 應變儀的連接與調平
應變花的每個應變片采用單臂方式接入電阻應變儀,每一支路都單獨調平,注意接入與所用應變花相同阻值的溫度補償電阻。
5.車架裝卡與載荷施加
車架裝卡利用試驗場地提供的設備,安裝方法依照使用說明書進行。
載荷施加在牽引鉤上,最大載荷30噸。
6.試驗程序
a. 將車架總成裝卡在實驗臺架上,處理應變片粘貼處表面,在設定的位置粘貼應變花,注意粘貼角度要準確,避免傾斜;粘貼接線端子、焊接引線和引出線,密封與絕緣處理。
b. 在應變儀上正確“接橋”,接通應變儀電源,調節電橋平衡。
c. 應變儀預熱一段時間后,再次調節電橋平衡;施加載荷、記錄數據,有效試驗的次數不少于3次。
6.1 ANSYS仿真及應變片位置確定
基于車架需滿足20t的拉力作用,車架需具有足夠的強度要求,現利用有限元軟件ANSYS進行強度分析,在ANSYS分析中分別分析了加載力為15t、20t和30t的三種加載狀態,分析中拉力加載在鉤子簡化后的前端面上,根據現場實驗條件在左、右縱梁壓型上各開的孔,并在這12個孔內壁加上全約束。分析得出的應力場分布如圖1和圖2所示,ANSYS分析中全部節點應力在附表3中。


加載力為20t時的車架變形圖和70倍變形放圖如圖3和圖4所示


根據應力場的分布情況,將應變花跌貼于車架的應力較大區域,具體測點如圖5,利用高速程控靜態應變數據采集分析系統進行測試。待數據采集整理后,各測點的應力值,見附表1和表2(各測點貼片位置見附圖)。



6.2 實驗過程
6.2.1 實驗加載記錄流程
實驗過程中每個車架加載流程如下(單位t):
第一階段:5-10-5-0
第二階段:5-10-15-10-5-0
第三階段:5-10-15-18-20-18-15-10-5-0
第四階段:5-10-15-18-20-22-24-25-27-29-30
第四階段加載過程預定為看現場加載情況來定加載到多少噸位,根據實際現場情況最后兩次拉伸均拉到最大噸位30t。
6.2.2 實驗數據記錄
實驗中對每次加載噸位和加載時間都有詳細記錄,為了讓數據穩定各加載階段中每個噸位的應變儀數據都記錄了三次。
7.實驗數據處理與分析
7.1數據處理
通過ANSYS仿真和實際測試后,應力場的分布情況基本相同。在ANSYS仿真中,建立的模型尺寸,材料屬性及加載位置和約束情況,均與實際測試中的工況基本相同,仿真具有一定的真參考度和可靠性。由于應變花的貼片厚度及車架經過較大的拉力后,個別應變花可能破壞,采集后的應力值較大不予考慮。以下分析中的仿真值與測量值均為車架表面應力,仿真值每個測點取了應力平均值、應力最大值和應力最小值,正值為拉應力,負值代表所受應力為壓應力,由于應變花范圍較大而仿真分析中取值節點較小,為了使仿真結果更具可靠性,這里所取的仿真值均為測點附近取多值后所得的平均值。測量值為根據實驗測得應變而求出的主應力值中的較大值
,其求解方法如下:

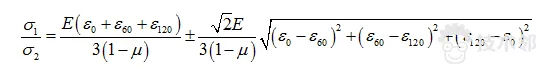
據平面應變分析理論知,若某點任意三個方向的線應變知道,就能計算出該點的主應變和主方向,從而計算出主應力。因此測量某點的主應力和主方向時,必須在測點布置三枚應變片。通常將三個敏感柵粘貼在同一基底上,稱為應變花。常用的應變花有兩種:1.三敏感柵軸線互成120°角,稱等角應變花。2.兩敏感柵軸線互相垂直,另一敏感柵軸線在它們的分角線上,稱為直角應變花。該實驗中應用的是等角應變花。
由應變分析和應力分析理論知,測得
、
和
后,可按下列公式計算主應力:

車架受力情況主要集中在加載位置周邊,重點分析測點(1,4,5,8,11,12),如表3所示(測量值1----第一車架經過25t拉力后,測量值2---第二車架未拉):

其余測點分析如表4所示(測量值1----第一車架經過25t拉力后,測量值2---第二車架未拉),其中19測點測量1的值由于應變片未知原因未能測得:



7.2最大畸變能準則下的應力
實驗測得應力值為車架表面應力,更能反映車架真實受力情況的是Equivalent stress,現將所有測點Equivalent stress統計如表5:

7.3誤差分析
對于應力值較小的測點,物理實驗過程中加載拉力的鋼絲繩較粗,受力方向稍微不同就會導致兩次測量值和仿真值差距較大,仿真時受拉實驗時也可能受壓,故只有受力較大的測點其誤差范圍的參考價值才較大,下表6中為應力值較大的重要測點誤差范圍,其中誤差1為測量值1的誤差。誤差2為測量值2的誤差,表中誤差數值為誤差百分比,正值代表測量值大于仿真值,負值代表測量值小于仿真值。

由以上分析可以看出大部分測量值和仿真值都較為吻合,也有部分測點差距較大,部分測點差距較大的原因分析如下:
1.車架模型在有限元分析時經過一定的簡化,主要體現在螺栓和鉚釘全部簡化刪除;
2.仿真約束不能完全和測試時約束相同;
3.仿真時拉力加載為集中載荷,該載荷垂直于加載平面,受力時車架會發生變化,而受力方向會隨著加載平面方向的變化而變化,測試時受力方向始終向著鋼絲繩拉直的水平方向,故仿真和測試的受力方向會有微小差異;
4.貼應變花時502膠水的厚度對測試精度有一定影響;
5.由于千分表和錄像機使用時會產生磁場,而磁場會對應變片電阻產生影響進而影響部分測點測試精度。
以上測點中第一次測量用車架和第二次測量用車架原始狀態不同(第一次測量用車架已經過25t拉力,第二次測量用車架未經任何拉伸),且實驗過中應變片貼片位置有微小差異,實驗中受拉力的大小(拉力精確度0.1t)和方向也會有微小不同,由于這些不確定因素的存在,測點9、15和16的兩次測量表現出了拉壓不同的現象。
8.實驗結果
車架經過ANSYS仿真和現場實驗后,車架能夠經受住20t的拉力作用,達到了設計強度。并且在最大30t的拉力作用下,車架無明顯變形,只是部分區域的應力值較大,達到了強度極限。