

gaoshengkeji@163.com

一、概述
沖擊運動按時域特征可分為 3 類:脈沖型、階躍型和復雜振蕩型。持續時間比系統固有半周期短的沖擊稱為脈沖型沖擊,系統能量突變的沖擊(如受突變加力作用后引起的階躍運動)稱為階躍型沖擊,兩者皆屬于典型沖擊,一般產生在沖擊源處。而復雜振蕩型沖擊則主要是經系統傳遞后產生的沖擊響應運動。實際上經常遇到沖擊運動中多數為復雜振蕩型。從頻域特征看,它們的頻率含量是相當豐富的,理論上包含了0~+∞的頻率范圍。
沖擊試驗是為了考核產品耐受沖擊環境的能力。它一方面應盡量模擬和接近真實的環境,另一方面應具有一定的重復性。對于較簡單的沖擊環境,可根據產品受到的實際沖擊環境,用與其相近的簡單脈沖在試驗設備上做沖擊試驗。對較為復雜的沖擊環境,要對沖擊激勵源做沖擊響應譜分析,用相近沖擊響應譜的簡單脈沖在試驗設備上進行試驗。目前的發展趨勢是既要求沖擊響應激勵相似,又要求沖擊的時間歷程相似。
二、機械沖擊試驗標準
由于沖擊環境條件非常復雜,目前還未找到一種統一的試驗方法。GJB 150、GJB 360、GJB 548、GB 2423、MIL-STD-810E 都對沖擊試驗做出了詳細的規定。GJB 150《軍用設備環境試驗方法》提供了 4 種模擬沖擊的方法,共 10 種類型的沖擊試驗。有的很原始,如運輸中的沖擊試驗、工作臺上的傾倒等。有的試驗已較為科學地從沖擊激勵引起的失效機理、失效模式上模擬,如沖擊響應譜試驗。沖擊響應譜的試驗效果比較接近實際使用環境,在試驗中能充分暴露沖擊環境造成的故障,因此,在標準中要求優先采用。但由于缺少沖擊響應譜的實測數據和缺少沖擊響應譜模擬試驗設備,所以,很多情況下不能采用沖擊響應譜模擬,只能采用規定沖擊波形。由于產品所承受的沖擊是一種復雜的瞬態振動,規定的半正弦波、后峰鋸齒波在實際中不可能模擬真實的沖擊振動環境。
沖擊試驗條件包含基本脈沖波形、峰值加速度、相應的標稱脈沖持續時間,相應的速度變化量,以及這些參數的容差范圍,另外,還有施加沖擊的次數及沖擊方向等。
1.基本脈沖波形
GB/T 2423.5—1995 標準中規定了當沖擊試驗機及夾具裝上試驗樣品時,在檢測點上所施加的沖擊脈沖應為以下3種基本脈沖波形。
(1)半正弦脈沖
即正弦波的半個周期,如圖 1所示。半正弦波脈沖適用于模擬線性系統的撞擊或線性系統的減速所引起的沖擊效應,如彈性結構的撞擊等,這種波形在沖擊試驗中最為常用。

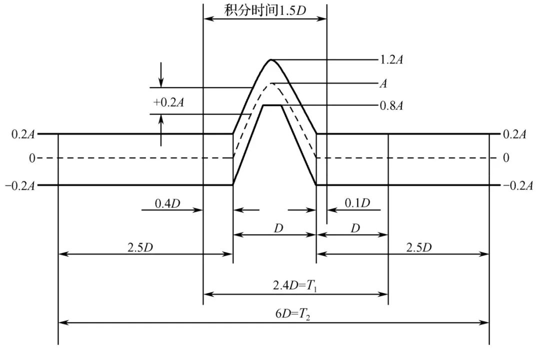
圖1半正弦脈沖
注:--為標稱脈沖線;—為容差范圍線;D—標稱脈沖的持續時間;A—標稱脈沖的峰值加速度;T1—用常規沖擊機產生沖擊時,對脈沖進行監測的最短時間;T2—用電動振動臺產生沖擊時,對脈沖進行監測的最短時間
(2)梯形脈沖。即具有短的上升和下降時間的對稱四邊形,如圖 2所示。梯形脈沖能在較寬的頻譜上比半正弦脈沖產生更高的響應。如果試驗的目的是模擬諸如空間探測器或衛星爆炸螺栓所引起的沖擊環境的效應,便可采用這種沖擊波形。

圖2 梯形脈沖
注:--為標稱脈沖線;—為容差范圍線;D—標稱脈沖的持續時間;A—標稱脈沖的峰值加速度;T1—用常規沖擊機產生沖擊時,對脈沖進行監測的最短時間;T2—用電動振動臺產生沖擊時,對脈沖進行監測的最短時間
(3)后峰鋸齒形脈沖。即具有短的下降時間的不對稱三角形,如圖 3所示。后峰鋸齒形脈沖與半正弦和梯形脈沖相比,更具有均勻的響應譜。

圖3 后峰鋸齒脈沖
注:--為標稱脈沖線;—為容差范圍線;D—標稱脈沖的持續時間;A—標稱脈沖的峰值加速度T1—用常規沖擊機產生沖擊時,對脈沖進行監測的最短時間;T2—用電動振動臺產生沖擊時,對脈沖進行監測的最短時間
標準 GJB 150.18 規定了半正弦波和后峰鋸齒波兩種基本脈沖波形,如圖 4和圖5所示。

圖4 GJB150.18半正弦沖擊脈沖波形及容差

圖5 GJB150.18后峰鋸齒沖擊波形及容差
GJB 360.23也同樣規定了兩種沖擊試驗時的兩種基本波形,如圖6和圖7所示。

圖6 GJB 360.23半正弦沖擊脈沖容差
注:A—理想半正弦脈沖的最大加速度;D—理想半正弦脈沖持續時間;Vi—理想半正弦脈沖速度變化值;V—實測沖擊試驗脈沖的速度變化值

圖7 GJB 360.23后峰鋸齒形脈沖容差范圍
注:A—理想鋸齒形脈沖的最大加速度;D—理想鋸齒形脈沖持續時間;Vi—理想鋸齒形脈沖速度變化值;V—實測沖擊試驗脈沖的速度變化值
2.沖擊試驗的嚴酷等級
GB/T 2423.5—1995 中給出了脈沖波形和試驗嚴酷等級,試驗時可選用其中的一種脈沖波形和表 1給定的一種嚴酷等級和相應的速度變化量。

表1 脈沖的加速度和持續時間(GB/T 2423.5—1995)
GJB 150.18 給出的嚴酷等級見表 2。當做墜撞安全試驗時,其嚴酷等級見表 3。當做強沖擊試驗時,其嚴酷等級見表4。

表2 脈沖加速度和持續時間(GJB 150.18)
注:① 速度變化量由沖擊脈沖波形積分求得。積分時間從脈沖前0.4D到脈沖后0.1D止,D為沖擊脈沖持續時間。② 若設備僅安裝在卡車或拖車上,可使用20g的峰值加速度。③ 裝在減震器上質量小于150kg的飛行器設備應優先選用后峰鋸齒波。

表3 做墜撞安全試驗時的嚴酷等級(GJB 150.18)

注:① 速度變化量由沖擊脈沖波形積分求得。積分時間從脈沖前0.4D到脈沖后0.1D止,D為沖擊脈沖持續時間。② 裝在減震器上質量小于150kg的飛機設備應優先選用后峰鋸齒波。

表4 做強沖擊試驗時的嚴酷等級(GJB 150.18)
注:① 速度變化量由沖擊脈沖波形積分求得。積分時間從脈沖前0.4D到脈沖后0.1D止,D為沖擊脈沖持續時間。② 裝在減震器上質量小于150kg的飛行器設備應優先選用后峰鋸齒波。
GJB 360.23 給出的脈沖加速度和持續時間沖擊試驗嚴酷等級見表5。

表5 脈沖加速度和持續時間(GJB 360.23)
注:試驗條件D、E、F原則上只適用于半導體器件
GJB 548給出的嚴酷等級見表6。

表6 脈沖加速度和持續時間(GJB 548)
三、機械沖擊試驗方法
目前,沖擊試驗方法,主要有以下3種:
(1)標準脈沖沖擊試驗方法
這種方法是事先規定一種沖擊脈沖波形,并規定了各種脈沖波形的公差帶。然后按照規定的脈沖波形的峰值加速度、脈沖持續時間、脈沖次數等來進行各種嚴酷等級的沖擊試驗。
由于這種沖擊脈沖在實驗室里用試驗設備比較容易產生,而且用這種方法能夠比較好地模擬產品在實際使用環境中因沖擊所造成的機理性損傷,因此,目前國內外廣泛采用了這種試驗方法。如國際電工委員會標準IEC 68—2—27Ea《沖擊試驗方法》、IEC 68—2—29Eb:《碰撞試驗方法》和國家標準GB/T 2423.5—95Ea:《沖擊試驗方法》、GB/T 2423.6—95Eb:《碰撞試驗方法》、GJB 360.23—87:《沖擊(規定脈沖)試驗方法》GJB 150.18—86《沖擊試驗方法》等。
(2)沖擊響應譜試驗方法
沖擊響應譜通常簡稱“沖擊譜”,它是工程中廣泛應用的一個重要概念。國際電工委員會(IEC)、國際標準化組織(ISO)所屬的技術委員會,以及我國的國家標準,都已經把沖擊譜作為規定沖擊環境的方法之一。這是一種比較新的、科學合理的試驗方法。這種方法是用沖擊響應譜來表達沖擊運動對產品結構的影響,也就是沖擊響應譜來研究沖擊運動對產品結構的損傷能力。它在確定產品結構的強度方面是十分有用的。
這一試驗方法在隨機振動臺上能夠比較容易、方便地進行。國外工業比較發達的國家早已采用了“規定一種沖擊譜”的試驗方法來進行沖擊試驗。國內有些單位前期對“規定一種沖擊譜”的試驗方法也做了一定的工作。目前正在積極推廣這種試驗方法。
(3)特種沖擊試驗方法
這種方法是將沖擊機的結構、技術要求、操作方法、運動形式和試樣的安裝方式等用規范的形式規定下來,操作者只要遵照規范的規定進行工作,完成規范中的試驗程序,就算試驗結果達到了標準要求。這一試驗方法主要用于艦船上所用的電機、電器和電子設備進行沖擊試驗。因為艦船上所用的電機、電器和電子設備一般的體積、質量都比較大,若用上述兩種方法進行試驗,要受到試樣體積、質量的限制,對試驗結果會產生很大的影響,所以,規定一種規范形式的試驗方法就比較方便。
這三種試驗方法中標準脈沖試驗方法被廣泛使用,在今后相當一段時間內還要使用。沖擊響應譜試驗方法是一種先進的、科學合理的試驗方法,它不僅能考核試樣試驗時的峰值加速度、脈沖持續時間、脈沖波形的準確程度,而且對試樣本身的機械特性也可進行考驗。所以,它是今后發展的趨勢所要求的一種比較理想的試驗方法。特種沖擊試驗方法作為標準來對產品進行沖擊試驗的形式有一定的局限性,但目前國內外仍在使用這一試驗方法對大型產品和艦船設備作沖擊試驗。
1.機械沖擊標準波形
不同材料、結構的物體受沖擊時產生的沖擊脈沖是不同的,在試驗室內較容易產生的沖擊波形有半正弦、矩形波、后峰鋸齒波等。進行沖擊試驗,應根據產品的沖擊環境選擇最接近真實情況的沖擊波形、持續時間和峰值等參數。
為保證沖擊試驗的同一性和試驗的再現性,保證在不同的試驗室,不同設備、不同人員按相同的技術條件要求對同一產品進行沖擊試驗有相同的結果,各種標準如 GJB 150、GJB 360、GB 2423、MIL-STD-810E 都對沖擊試驗做出了詳細的規定。GJB 150 規定了兩種沖擊波形:半正弦波、后峰鋸齒波,如圖8所示。GJB 150試驗時,實際各種沖擊脈沖速度變化的容差應在標準值的±10%內,實際沖擊脈沖速度計算應從脈沖前0.4D積分到脈沖后的0.1D,其中D是標稱脈沖持續時間。

圖8 GJB 150規定的沖擊波形及容差
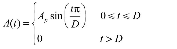
(1)半正弦波沖擊脈沖。半正弦波沖擊脈沖可以用一個時間的連續函數描述:

其頻域表達式為

求得其幅值譜為

半正弦波的時域波形和幅值譜如圖9所示。

圖9 半正弦波時域波形和幅值譜
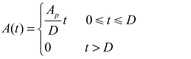
(2)后峰鋸齒波沖擊脈沖。后峰鋸齒波沖擊脈沖可以用一個時間的連續函數描述:

其頻域表達式為

后峰鋸齒波的時域波形和幅值譜如圖10所示。

圖10 后峰鋸齒波的時域圖和頻域圖
2.沖擊響應譜
沖擊響應譜(Shock Response Spectrum)通常簡稱為“沖擊譜”,沖擊譜是指一系列單自由度質量阻尼系統,當其公共基礎受到沖擊激勵時各單自由度(SDOF)系統產生的響應峰值作為單自由度系統固有頻率的函數繪出的曲線。簡單來說,就是在笛卡兒坐標系下以單自由度系統的固有頻率為橫坐標,以其響應峰值為縱坐標繪制而成的曲線。沖擊譜是對設備實施抗沖擊設計的分析基礎,也是控制產品沖擊環境模擬試驗的基本參數。由定義可知,沖擊譜是單自由度系統受沖擊作用后所產生的響應運動在頻域中的特性描述。它不同于沖擊源的傅里葉頻譜,其區別在于:傅里葉頻譜僅僅研究沖擊源本身在頻域中的能量分布屬性,只是沖擊源函數在頻域中的展開,它不涉及任何一個機械系統的響應。雖然沖擊頻譜與傅里葉頻譜兩者都是頻率的函數,但有著明顯的區別。
沖擊響應譜只是響應幅值與頻率的關系曲線,相位信息不存在于沖擊響應譜中,由沖擊響應譜不能復現原來的沖擊波形,而不同的沖擊波形可以產生相同的沖擊響應譜。
(1)沖擊響應譜分類
沖擊響應譜按照響應峰值取法不同分為以下幾種。
① 初始響應譜:在沖擊持續作用時間范圍內出現的最大響應峰值與系統固有頻率之間的關系,簡稱“主譜”。
② 剩余響應譜:在沖擊持續作用完結之后的時間范圍內出現的最大響應峰值與系統固有頻率之間的關系,簡稱“余譜”。
③ 最大響應譜:在整個響應過程中的最大響應峰值與系統固有頻率之間的關系,即“主譜”和“余譜”的包絡譜。當此最大響應值為絕對值最大時,稱為絕對最大響應譜。
④ 最小響應譜:在整個響應過程中的最大響應峰值與系統固有頻率之間的關系。
(2)沖擊響應譜模擬試驗方法
采用典型沖擊波形模擬的試驗方法雖簡單,但有其固有的缺點,這是因為除包裝跌落或飛機著陸沖擊且在震源附近的波形近似典型脈沖外,其余多半屬復雜振蕩型沖擊。這時用半正弦波等模擬就過于保守,表現在兩方面,即由于半正弦等脈沖的譜不能很好地模擬實際譜造成低頗部分過度試驗,以及因時間歷程不同使半正弦等脈沖沖擊的速度峰值遠高于實際振蕩型沖擊,如圖11所示。

圖11 實驗、理論半正弦譜與外場實測譜的比較
如前所述,由于沖擊響應譜忽略了相位關系,它與沖擊波形無對應關系,這為沖擊譜模擬創造了有利條件,即可選用任何便于實現的波形去匹配要求的沖擊譜。也就是說,只要給出了沖擊輸入,無論它是標準加速度沖擊脈沖還是圖形一數據庫表示的瞬態沖擊過程,都可以求解獲得與其對應的沖擊譜。如果使受控裝置上的被試樣品因受激勵而響應,且其響應包絡了給定的沖擊譜,那么,表明這種受控模擬方法與實際沖擊環境有著相同的作用效果,這便是本模擬方法的基本思想。
模擬譜的方法有兩種:一是正弦掃描法,二是瞬態波組合法。前者可充分利用傳統的正弦激勵及模擬式控制設備,后者則主要靠數控振動系統方可實現。用跌落沖擊試驗機增加某些彈簧質量即所謂程序器,也可產生瞬態波形來滿足沖擊譜規范,雖精度有限,但仍不失為一種經濟可行的方法,如表7所示。

表7 沖擊響應譜模擬方法一覽表
利用振動臺完成沖擊試驗的好處是節省了激勵設備、夾具,縮短了試驗周期,主要缺點是受到振動系統能力的限制,如最大位移限、速度限、加速度限和最大推力值等。
(3)爆炸沖擊環境模擬試驗方法
用沖擊響應譜來描述爆炸沖擊,目前通用的試驗規范是給定一定頻率范圍內所對應的沖擊響應譜值,且沖擊響應譜值有一定的容差要求;對時域信號有一定的持續時間要求,爆炸沖擊環境的持續時間要求是≤20ms,對時域信號的峰值大小沒有確定要求。
爆炸沖擊環境的模擬比較復雜,試驗設備的類型也較多,且沒有統一的設備計量國家標準。目前,航天沖擊響應譜規范試驗室模擬,通用設備有電動振動臺和機械式試驗機兩大類,其中機械式試驗機主要有諧振板式沖擊譜機和擺錘式沖擊譜機兩種。
由于用電動振動臺進行爆炸沖擊環境模擬有一定的局限性,主要是振動臺產生的沖擊加速度幅值有限制,而且沖擊響應譜模擬要求電動振動臺在 20ms 內發出一個強電流,這對功放及振動臺臺體可能造成一定的損傷,因此,目前試驗室進行沖擊響應譜規范模擬大多采用諧振板式沖擊譜試驗機和擺錘式沖擊譜試驗機。
在試驗室進行沖擊響應譜模擬試驗時,發現用電動機振動臺和用機械式試驗機進行模擬還是有差異的,雖然都可以達到沖擊響應譜滿足試驗要求,但時域差異較大,主要是時域長短和峰值加速度值差異大,一般情況是,用機械式沖擊機模擬的時域較短(<10ms),峰值加速度值較高,而用電動振動臺模擬時域相對長(< 20ms),峰值加速度值比機械式模擬低。對于低量級(譜 600g 以下)的沖擊響應譜模擬,這種差異略小,而對于高量級(譜 800g 以上)的沖擊響應譜模擬,這種差異較大,用諧振板式沖擊譜試驗機進行模擬時的時域加速度峰值,有時是用電動振動臺進行模擬時的2~3倍。
對于高量級(譜 800g 以上)的沖擊響應譜模擬,目前試驗室模擬主要采用機械式試驗機進行,也有用響應放大裝置在電動振動臺上實現模擬;而低量級(譜 600g 以下)的沖擊響應譜模擬,試驗室模擬可根據設備條件選用電動振動臺或機械式試驗機兩種方式。
(4)高速撞擊沖擊環境模擬試驗方法
現代設備系統中電子設備的比重越來越大,它們對沖擊和加速度都非常敏感,所以,任何現代設備的發展都要解決大量與沖擊載荷有關的問題,如發射、分離、減速回收、終點撞擊和爆炸性能等。對于這種高能沖擊,前述方法已不適用,必須采用空氣炮、火藥炮等方法。這里主要介紹空氣炮的試驗方法及應用領域。
空氣炮作為一種加載工具,因為具有重復性好,安全性高、操作維護較方便的優點。空氣炮由高壓氣室、釋放機構、發射身管、炮彈和回收裝置等組成,圖 12所示為其原理圖。該空氣炮口徑為 100mm,發射管有效長度為 6.2m,氣室容積約為 0.03592m3。發射時先通過快速釋放機構打開閥門,氣體壓力直接作用到彈丸底部,彈丸被加速直到撞擊彈載加速度存儲測試裝置,改變碰撞接觸面機制氈墊的軟硬程度和厚度(不超過 30mm),可以產生不同加速度幅值a0,持續時間μ0(脈寬)的加速度信號,以模擬彈體撞擊硬目標過程中初始段的負向加速度。
為了吸收碰撞后的剩余能量,采用類似火炮反后座裝置的技術,設計制造了液氣緩沖裝置,利用液體高速通過小孔產生的阻力和能量消耗,來吸收碰撞結束后炮彈和測試裝置的剩余能量。

圖12 沖擊試驗模擬裝置原理示意圖
空氣炮的應用領域主要如下。
(a)撞擊研究試驗
如火箭彈頭在不同入射角、靶面、撞擊速度和質量下的撞擊性能研究(并可模擬彈頭自旋);彈頭部件的撞擊環境考核。
(b)彈射模擬試驗
氣炮在武器彈射環境模擬方面用于彈射功能研究、重要部件的考核。彈藥在炮管內加速到最大速度相當于氣流速度和釋放速度。
(c)火箭發動機信號模擬試驗
可模擬火箭的加速度時間歷程,代替真實發動機點火來研究保險、裝藥、引信、控制裝置及其他子系統的性能。這類信號通常是近似梯形或半正弦的波形,其峰值為4900~98000m/s2,持續時間為5~30ms,上升時間為3ms。
(d)飛行減速(后座)載荷模擬試驗
用于模擬彈射后的減速飛行載荷以研究它對關鍵部件性能的影響,試件裝在特殊設計的彈殼內以保證載荷作用方向與真實使用方向一致,這種試驗的炮管要比較長,以達到所需的持續時間。例如,為實現持續時間為 330ms(試件質量為15kg)的減速載荷試驗,需具有炮管為1m、口徑為225mm的雙膛(雙壓力室)的空氣炮。
(e)爆炸分離沖擊模擬試驗
爆炸螺栓是最常用的火箭級間分離裝置,分離后的爆炸螺栓頭撞擊在保護盒上會產生高頻沖擊。可用氣炮模擬螺栓頭的質量及撞擊速度代替真實爆炸螺栓研究高頻沖擊對設備的影響。
(f)材料抗撞擊性能的試驗研究
用氣炮發射具有給定幾何、物理及運動參數的彈體撞擊給定的材料制成的靶面,可進行不同撞擊條件下材料的撞擊性能研究和改進。例如,航天飛機在發射前,因低溫液氫液氧加注后會使大氣中的水蒸氣在箱體上凝成一層厚冰殼。發射時,碎落的冰殼會撞擊在機身的防熱瓦上引起各部位防熱瓦產生不同程度的損傷,為此可利用氣炮發射長為8.75cm、直徑為2.2cm的柱狀彈體,該彈體為橘黃色的水凍質地,以模擬實際碎冰塊并便于觀察。