

gaoshengkeji@163.com

1、引言
隨著國民經濟的增長,人們的消費水平也日益提高,室內空氣污染問題得到越來越多的關注。據某幼兒園、寫字樓、家庭居室等180余戶的調查,依據GB/T 18883-2002《室內空氣質量》國家標準判定,室內空氣質量合格率僅為34.7%,污染問題主要集中在可吸入顆粒物、甲醛、苯、氨、TVOC、微生物等-[1]。作為室內空氣凈化類家用電器,空氣凈化器近些年呈現井噴式的爆發,但不少國內企業入行晚,研發實力薄弱,導致其產品質量參次不齊。目前,空氣凈化器現行國家標準主要有GB 4706.45-2008《家用和類似用途電器的安全 空氣凈化器的特殊要求》、GB/T 18801-2015《空氣凈化器》和GB 21551.3-2010《家用和類似用途電器的抗菌、除菌、凈化功能空氣凈化器的特殊要求》。作為評價空氣凈化器對顆粒物、甲醛等目標污染物凈化能力的潔凈空氣量(CADR),除菌能力的除菌率[2]等主要性能均需要在30m3試驗艙中進行檢驗。因此,研制30m3試驗艙對于評測空氣凈化器凈化性能質量,提高產品質量有著十分重要的現實意義。

2、空氣凈化器潔凈空氣量檢測方法
空氣凈化器凈化顆粒物、甲醛、甲苯等污染物的CADR試驗過程如下:
1)穩定的溫度、相對濕度、本底濃度等試驗條件符合標準要求;
2)向試驗艙內注入定量的目標污染物,先后進行自然衰減測試和總衰減測試,直到達到規定的測試時間停止實驗;
3)自然衰減測試過程中,待測樣機處于停止工作狀態,總衰減測試過程中,待測樣機處于最高凈化狀態;
4)按標準要求時間短,測量試驗艙內污染物濃度,并對試驗數據進行線性擬合分別獲得自然衰減系數kn和總衰減系數ke;
5)通過數據運算,進而獲得潔凈空氣量Q(mg/m3)[3],具體如公式(1),其中V代表試驗艙容積(m3)。
(1)3、空氣凈化器30m3試驗艙的設計
30m3試驗艙的研制涉及空氣調節、材料、生物、化學、機械、電氣等多個學科、多個專業,是一項復雜的系統性工程。不同于高、低溫濕熱試驗箱運行時,恒溫恒濕空調機組直接與試驗箱內部循環進行濕量、熱量交換[4],30m3試驗艙屬于高度密閉型試驗艙[5],開始試驗后,便不能與恒溫恒濕空調機組進行氣流上的濕熱交換。結合GB/T 18801-2015《空氣凈化器》國標要求,本文所述30m3試驗艙整體采用內外艙嵌套式設計,主要由內外艙主體、空氣凈化系統、溫濕度控制系統、空氣循環系統、數據監控系統等組成。具體原理見圖1。

3.1 內外艙主體
內艙為試驗測試主體,內部尺寸長*寬*高=3.5m*3.4m*2.5m,整體由不銹鋼框架組建,四壁采用鋼化玻璃,頂板以及地板采用不銹鋼,艙體拼接縫隙處采用聚四氟乙烯條及硅酮密封膠密封。頂部中央設有直徑1.2m的攪拌風扇,用于混合污染物氣體;側方離地1.5m,距后壁0.4m處設有一循環風扇,便于試驗過程中空氣的循環;送樣口和采樣口總計8個,用于不同污染物的注入和采集。另外,試驗艙內部還設有照明裝置、紫外消毒燈、電源插座等。外艙采用防火、隔熱的巖棉板搭建,用于保證外艙環境處于恒溫環境,降低由于內外艙熱交換對內艙溫濕度的影響,進而保證艙內污染物的穩定性。
3.2 空氣凈化系統
為滿足試驗艙本底濃度的要求,試驗艙配置的空氣凈化系統包含兩套組合式過濾模塊,主要由中、高效過濾器、風機、活性炭過濾器等組成,分別位于送風管道和排風管道中,前者結合空氣循環系統中的內循環操作模式,可有效凈化、吸附試驗艙內部的污染物,為試驗艙提供符合標準要求的潔凈空氣;后者結合換氣操作模式,可有效保證試驗艙排出的氣體符合環保排放要求,減少大氣環境污染。其中,中效過濾器、高效過濾器主要用于過濾粒徑1μm以及0.3μm以上的顆粒物;而活性炭過濾器主要用于吸附分解甲醛、苯、TVOC等氣態有機污染物[6]。
3.3 溫濕度控制系統
溫濕度控制系統用于調節試驗艙的溫度以及相對濕度,由蒸發器、加熱器、加濕器、變頻風機等組成。選用恒溫恒濕機組制冷量5KW,制熱量4.5KW,加濕量5kg/h,風量3000m3/h,控制原理圖如圖2所示。以試驗艙的回風溫度、濕度作為基準點,控制器實時檢測并將其與設定的溫度、濕度進行對比,通過執行PID算法[7],自動調節壓縮機(降溫、除濕),加熱器、加濕器的輸出功率,進而實現試驗艙的恒溫恒濕控制。

3.4 空氣循環系統
空氣循環系統包含換氣、內循環、外循環等三種模式。換氣是指氣流從新風閥經內艙送風閥、內艙出風閥、排風閥、組合式過濾模塊至排風管道,主要用于試驗結束后的排出殘余污染物;內循環是指恒溫恒濕空調結合組合式過濾模塊與內艙形成循環系統的過程,在此過程中,新風閥、排風閥關閉,內艙送風閥、內艙出風閥、回風閥打開,主要用于試驗開始前的調節內艙溫度、相對濕度、以及本底濃度階段;外循環是指恒溫恒濕空調結合組合式過濾模塊與外艙形成循環系統的過程,在此過程中,新風閥、排風閥、內艙送風閥、內艙出風閥、關閉,外艙送風閥、外艙出風閥、回風閥打開,主要用于試驗進行時的外艙保溫。
3.5 數據監控系統
結合空氣凈化器檢測試驗過程,為提高檢測效率,試驗艙應用PLC控制器、HMI觸摸屏等自動化技術實現了對終端器件的集中監控,包含試驗內外艙的溫濕度、待測樣機的能耗數據采集,攪拌風扇、循環風扇、照明裝置、消毒燈、閥門、風機等的集中控制,系統集成圖如圖3所示。

4、空氣凈化器30m3試驗艙性能驗證
為驗證研制的30m3試驗艙的相關性能,依據JJF(輕工)102-2018《空氣凈化器性能試驗艙校準規范》計量規范,分別對試驗艙容積、試驗環境溫濕度、氣密性、混合度、回收率、本底濃度[8]等六個主要指標進行校準驗證。
4.1試驗艙容積測量
應用鋼尺采用幾何測量法直接測量試驗艙的尺寸,實測長3.48m,寬3.39m,高2.51m,容積為29.61m3,滿足試驗艙尺寸誤差≤±1%的特性,具體數據如表1所示。
表1:試驗艙幾何尺寸測量數據表

4.2試驗艙內溫濕度測量
試驗環境溫濕度的變化影響著空氣凈化器的運行狀態以及顆粒物、甲醛等污染物的擴散系數,保持艙內溫濕度恒定是一項檢測試驗的必備要求。設定試驗艙溫度25℃,相對濕度50%RH,開啟內循環調節內艙環境,達到設定溫濕度運行穩定后,開始測試試驗艙溫濕度,測試間隔為2min,測試時間30min,測量數據如表2所示。由數據可知,溫度平均值為24.8℃,最大偏差為0.2℃,相對濕度平均值為50.9%RH,最大偏差為2.9%RH,說明試驗艙的溫濕度穩定性好,滿足規范要求的溫度誤差小于±2℃,濕度誤差小于±5%RH。
表2:試驗環境溫濕度測量數據表

4.3 氣密性試驗
試驗過程中,試驗艙內有濃度較高的污染物,氣密性差的試驗艙不僅導致檢測數據出現偏差影響實驗結果的準確性,而且泄漏的污染物還會危害實驗人員的身體健康,因此,試驗艙的氣密性至關重要。選用CO2作為示蹤氣體進行氣密性測試。運行測試艙達到初始穩定狀態后,密閉試驗艙,開啟攪拌風扇、循環風扇,二氧化碳發生器通過注入口注入CO2,混合均勻,并使初始濃度達到(2000mg/m3~4000mg/m3);停止攪拌風扇,開始測試,采樣間隔5min,測試時間1h。二氧化碳(CO2)濃度衰減符合公式2指數函數變化趨勢,實際測試結果見表3。
(2)式中
ct為時間t時的CO2濃度,mg/m3;
c0為t=0時的二氧化碳初始濃度,mg/m3;
K為衰減常數,h--1;
t為時間,h。
通過線性擬合lnc(t)與t,可以得出換氣次數K=0.025h--1,小于規范要求的0.05h--1,表明試驗艙的氣密性良好,泄漏量小,符合規范要求。
表3:氣密性試驗CO2濃度數據表

4.4 混合度試驗
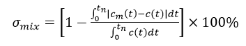
混合度影響污染物在試驗艙內的分布均勻狀態,如不能混合均勻,則不利于空氣凈化器的重復性評價。選用CO2作為示蹤氣體進行混合度測試,試驗艙處于換氣狀態,上送下排,內艙送風閥,內艙出風閥打開,運行攪拌、循環風扇,調整送風量為15m3/h,送風管道口CO2濃度穩定為(3000±1000)mg/m3,檢測排風口的CO2濃度,測試間隔5min,測試時間2h。實際測試數據如表4,結合混合度公式(3)(4),得出本文研制的試驗艙混合度為82.1%,滿足規范規定>80%的要求。
(3)
(4)式中
σmax為混合度,%;
tn為試驗艙一次換氣所需時間,2h;
cm(t)為排風口處監測的二氧化碳濃度,mg/m3;
c(t)為完全混合時,排風口處的濃度理論值,mg/m3;
cinlet為送風口的二氧化碳濃度,mg/m3;
c1為試驗艙內測試開始時的本底濃度,mg/m3;
k0為混合度試驗過程中設定的換氣次數,0.5h--1;
t為時間,h。
表4:混合度試驗CO2濃度數據表

4.5 回收率測試
不同材料的試驗艙內壁對污染物的吸附性不同,對于保證空氣凈化器復現性評價來說,回收率是一項重要指標。分別用甲苯、正十二烷、四苯基環己烯三種污染物進行回收率測試。試驗艙穩定在25℃,50%RH條件后,密閉試驗艙,開啟攪拌風扇,揮發污染物,使初始濃度至2.0±0.2mg/m3,60分鐘后記錄污染物終止濃度。各污染物測試數據表如表5,結合公式(5),得到試驗回收率R甲苯=92.3%,R正十二烷=85.9%,R四苯基環乙烯=82.2%,說明試驗艙內壁的吸附性較小,滿足規范要求的回收率≥80%的要求。
(5)式中:
R為回收率,%;
c2為初始理論濃度,mg/m3;
c3為終止濃度,mg/m3。
表5:回收率數據表

4.6 本底濃度測試
試驗艙材料及密封材料往往會散發出一定的污染物,在使用前,應測定各污染物的本底濃度排除影響。試驗艙運行穩定后,密閉測試艙2h,保持攪拌風扇處于運行狀態,分別采樣檢測艙內顆粒物、甲醛、TVOC、甲苯的濃度,每10min測試一次,測量3次取平均值。最終實測本底濃度:顆粒物(0.3μm以上)891個/L,甲醛0.02mg/m3,TVOC0.11mg/m3,甲苯0.04mg/m3,滿足規范要求的顆粒物(0.3μm以上粒徑)≤1000個/L,甲醛≤0.05mg/m3,TVOC:≤0.30mg/m3,甲苯:≤0.10mg/m3。
5、結論
通過對試驗艙的多項測試,得出以下結果:試驗艙容積為30m3;試驗環境溫濕度恒定,25℃,50%RH偏差較?。辉囼炁摎饷苄粤己茫瑩Q氣次數<0.05h-1;污染物混合均勻,混合度>80%;艙體吸附性小,污染物回收率≥80%;本底濃度低,顆粒物(0.3μm以上粒徑)≤1000個/L,甲醛≤0.05mg/m3,TVOC≤0.30mg/m3,甲苯≤0.10mg/m3。試驗艙的各項指標均滿足GB/T 18801-2015《空氣凈化器》國家標準,以及JJF 102-2018《空氣凈化器性能試驗艙校準規范》計量規范的相關要求,可以應用于空氣凈化器的性能檢驗。該試驗艙的研制,對國內空氣凈化器產品質量提高,改善居民室內污染狀況,具有較大的實際意義,而且對國家標準實施,為質量監督部門提供公正的檢測數據依據,營造公平競爭的市場環境具有非常重要的推動作用。
參考文獻
1.楊莉.淺談目前的室內空氣環境監測[J].《科技創新導報》,2013(34):124.
2.GB 21551.3-2010《家用和類似用途電器的抗菌、除菌、凈化功能 空氣凈化器的特殊要求》[S] .
3.GB/T 18801-2015《空氣凈化器》[S] .
4.陳臻科,蘇麗潔.步入式高低溫濕熱試驗箱的實現[J].《環境技術》,2015,33(02):70-73.
5.任志偉,劉杰,夏金尉.環境艙研究現狀及發展趨勢[J].《廣東化工》,2018,45(15):171-172.
6.于騰,胡曉微.空氣過濾器的分類及特性指標[J].《山西建筑》,2015,41(31):137-139.
7.劉紅冰,汪雨清,王騰飛,劉峰.帶冷凝熱回收變容量恒溫恒濕系統的研究[J].《建筑節能》,2013,41(02):8-10.JJF 102-2018《空氣凈化器性能試驗艙校準規范》[s]。